Home Intermediates Suzetrigine intermediate-1
Name of Intermediate :Suzetrigine intermediate-1
Name of API :Suzetrigine
Chemical Name :Methyl 4- amino pyridine-2- carboxylate
CAS No:71469-93-7
Molecular Formula :C7H8N2O2
Molecular Weight :152.15
Nil
Name of API :Obicetrapib
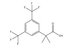
Name of Intermediate :Obicetrapib Intermediate-3
CAS No:945771-55-1
Mol. weight :272.73
Name of API :Brensocatib
Name of Intermediate :Brensocatib Intermediate-3
CAS No:1273567-44-4
Mol. weight :245.27
Name of API :Nirogacestat
Name of Intermediate :Nirogacestat Intermediate-2
CAS No:843644-23-5
Mol. weight :182.17
Name of Intermediate :Nirogacestat Intermediate-1
CAS No:865774-07-8
Mol. weight :213.19